欢迎光临长沙同大水泵实业有限公司
服务热线 全国服务热线:

18674871627

您的位置:首 页 > 新闻资讯 > 行业新闻 > 泵杨程和NPSHA计算

新闻资讯

泵杨程和NPSHA计算

长管和短管

在管道系统中,局部水头损失只占沿程水头损失的10%以下,或管道长度大于1000倍管径时,在水力计算中可略去局部水头损失和出口流速水头,称为长管;否则称为短管。在短管水力计算中应计算局部水头损失和管道流速水头


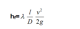
沿程水头损失计算公式

2.1 达西公式(适用于圆管满流)

图片

  式中:

—沿程阻力系数;

 l—管道长度,m

D—管道内径,m

v—平均流速,m/s

g—重力加速度,m/s2

2.1.1 沿程阻力系数计算公式

2.1.1.1 柯尔勃洛克-齐恩公式

说明

公式

式中

适用于水力光滑区、紊流过渡区和阻力平方区

图片

Δ—管道内壁的当量粗糙度

2.1.1.2 海曾-威廉(Hazen-Wllliams)公式

序号

说明

公式

式中

1

适于较光滑的圆管满管紊流计算,主要用于给水管道水力计算

图片

q—流量,m3/s

CW—海曾-威廉粗糙系数

 海曾-威廉(Hazen-Wllliams)粗糙系数

管道材料

CW

管道材料

CW

塑料管

150

新铸铁管、涂沥青或水泥的铸铁管

130

石棉水泥管

120~140

使用5年的铸铁管、焊接钢管

120

混凝土管、焊接钢管、木管

120

使用10年的铸铁管、焊接钢管

110

水泥衬里管

120

使用20年的铸铁管

90~100

陶土管

110

使用30年的铸铁管

75~90

2.1.1.3 柯尔勃洛克-怀特(Colebrook-White)公式

     柯尔勃洛克-怀特公式适于各种紊流,是适用性和计算精度最高的公式之一。公式为:


  式中:

—沿程阻力系数;

Re—雷诺数,Re=

D—管道内径,m

V—平均流速,m/s

e—管壁当量粗糙度,m

ν—运动粘度,m2/s

2.1.1.4 

公式

式中

图片

is the pipe equivalent uniform roughness;

D is the pipe diameter;

 is the relative roughness (pure number)

适于紊流区包括水力光滑区、过渡区(又称紊流过渡区)和阻力平方区。

 

公式

适用范围

图片

紊流区钢管及其它光滑管道。钢管取k=0.0001~0.0002 m

 2.1.1.5 管壁粗糙度

常用管材内壁当量粗糙度

管壁材料

光滑

平均

粗糙

玻璃拉成的管

0

0.003

0.006

钢、PVCAC

0.015

0.03

0.06

有涂层的钢

0.03

0.06

0.15

镀锌管、陶土管

0.06

0.15

0.3

铸铁或水泥衬里管

0.15

0.3

0.6

预应力混凝土管或木管

0.3

0.6

1.5

脏的污水管道或结瘤的给水主管线

6

15

30

某些工业管道的绝对粗糙度 

管壁材料

绝对粗糙度(ε)

无缝黄铜管、铜管及铅管

0.01~0.05

新的无缝钢管或镀锌管

0.10.2

新的铸铁管

0.25~0.42

具有轻度腐蚀的无缝钢管

0.2~0.3

具有显著腐蚀的无缝钢管

0.5以上

旧的铸铁管

0.85以上

焊接钢管

0.33

干净玻璃管

0.0015~0.01

橡皮软管

0.01~0.03

接头平整的水泥管

0.33

 常见管道的平均绝对粗糙度 

管壁材料

平均绝对粗糙度e

干净钢、铝管

0.0015~0.01

新无缝钢管

0.04~0.17

精制镀锌钢管

0.25

水泥管

0.33

普通镀锌钢管

0.39

普通铸铁管

0.25~0.42

玻璃管

0.0015~0.01

橡皮管

0.01~0.03

混凝土管

0.8~9.0

 

Oughness values k for various materials 

Materials

 k (mm)

Smooth pipes of plastic, glass, copper, brass; drawn, extruded, ground finished

0.002

Seammless steel pipes, asbestos cement pipes

0.05

Welded steel pipes, new

0.05~0.1

Welded steel pipes, corroded

0.15~0.2

Spun concrete pipes, stoneware pipes, new cast-iron pipes

0.2

各种壁面当量粗糙度

管道种类

加工及使用情况

Δ(mm)

玻璃、铜

铅管、铝管

新的、光滑的、整体拉制的

0.001~0.01

0.0015~0.06

0.005

0.03

无缝钢管

1. 新的、清洁的、敷设良好的

2. 用过几年后加以清洗的、涂沥青的、轻微腐蚀的、污垢不多的

0.02~0.05

0.15~0.3

0.03

0.2

焊接钢管和铆接钢管

小口径焊接钢管(只有纵向焊缝的钢管)

1.1 清洁的

1.2 经清洗后锈蚀不显著的旧管

1.3 轻度腐蚀的旧管

1.4 中等腐蚀的旧管

大口径钢管

2.1 纵缝和横缝都是焊接的

 

0.03~0.1

0.1~0.2

0.2~0.7

0.8~1.5

 

0.3~1.0

 

0.05

0.15

0.5

1.0

 

0.7

镀锌钢管

1 镀锌面光滑洁净的新管

2 镀锌面一般的新管

3 用过几年的旧管

0.07~0.1

0.1~0.2

0.4~0.7

 

0.15

0.5

铸铁管

1 新管

2 涂沥青的新管

3 涂沥青的旧管

0.2~0.5

0.1~0.15

0.12~0.3

0.3

 

0.18

混凝土管及钢筋混凝土管

1 无抹灰面层

1.1 钢模板,施工质量好,接缝平衡

1.2 木模板,施工质量一般

2 有抹灰面层并经抹光

3 有喷浆面层

10 3.1 表面用钢丝刷过并经仔细抹光

11 3.2 表面用钢丝刷刷过,但未经抹光

 

0.3~0.9

1.0~1.8

0.25~1.8

 

0.7~2.8

 

0.7

1.2

0.7

 

1.2

8.0

橡胶软管

12 


0.03

 

某些管道表面的平均绝对粗糙度Δ值 

管壁表面特征

Δ,mm

管壁表面特征

Δ,mm

清洁无缝钢管、铝管

0.00150.01

新铸铁管

0.250.42

新精制无缝钢管

0.040.15

普通铸铁管

0.500.85

通用输油管

0.140.15

生锈铸铁管

1.001.50

普通钢管

0.19

结水垢铸铁管

1.53.0

涂沥青钢管

0.120.21

光滑水泥管

0.30.8

普通镀锌钢管

0.39

粗糙水泥管

12

旧钢管

0.50.6

橡皮软管

0.010.03

  Equivalent uniform roughness k for pipes 

Commercial pipe (new) material

Equivalent unifrom roughness, k, of the aurface

Glass, drawn vbrass, copper or lead

Smooth

Steel

0.05

Asphalted cast iron

0.12

Galvanized iron

0.15

Cast iron

0.25

Concrete

0.3 to 3.0

Riveted steel

1.0 to 10.0

编者注:上述ek的意义与GB/T 1031中的相同。

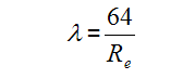
2.1.1.6 流态和摩擦系数

2.1.1.6.1 舍维列夫公式

舍维列夫公式适于旧铸铁管和旧钢管满管紊流,常用于给水管道水力计算,公式为:


流态

摩擦系数

≥9.2*105 (1/m)

阻力平方区

图片

<9.2*105 (1/m)

紊流过渡区

图片

 

谢维列夫公式适于新钢管满管紊流。公式为:[17]


流态

摩擦系数


水力光滑区

图片

<2.4*105 (1/m)

紊流过渡区

图片

≥2.4*105 (1/m)

阻力平方区

图片

 

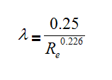
2.1.1.6.2 常用计算水力摩阻的经验公式

流态类别

Re范围

常用的经验公式

层流

Re≤2000

图片

紊流

水力光滑

图片

图片

混合摩擦

图片

图片

水力粗糙

图片

图片

2.1.1.6.3 [17]

流态类别

Re范围

常用的经验公式

临界区或临界过渡区

2000<Re<4000

图片

 

2.1.1.6.3 流态名词说明

序号

名词

英文

1

层流


Laminar flow

2

紊流

湍流

turbulent

3

层流转变为

紊流的过渡区


Critical zone

4

水力光滑


Smooth pipes

5

混合摩擦

紊流过渡

Transition zone

6

水力粗糙

阻力平方

Complete turbulence, rough pipes

 

2.2 Strickler method [11]

说明

公式

式中

This formula is often used today in structural engineering.

图片

c=velocity (m/s)

k1=pressure loss coefficient

I=pressure loss per meter pipe length

RH=hydraulic radius==

 

Strickler k1 values

Materials

k1

Steel pipes



Heavily corroede

60


Moderately corroded

85


Welded, new

95


Smooth

≥100

Plastic pipes

Pipes with asphalt or cement mortar surfacing

Conecrete pipes



Cast in steel shuttering

90~100


Cast in timber shuttering

65~70

Penstocks


(55)~85~(95)

2.3 海曾-威廉公式

2.3.1 Hazen and Williams method [11]

公式

式中

图片

HV=friction losses in the pipeline (m)

L=pipeline length (m)

DH=hydraulic diameter= (m)

DH=d1 for circular-section pipes with full flow (m)

Q=rate of flow through pipe (m3/s)

C=Hazen and Williams factor

Hazen and Williams roughness values C for circular-section pipoes


C

Extremely smooth pipelines

140

Very smooth pipelines

130

Concrete pipes

120

New steel pipes (riveted) and tiled channels

110

Normal castr pipes, 10-year-okd steel pipes and old

100

Very rough pipelines

60

2.3.2 

序号

说明

公式

式中

2


i=105Ch-1.85dj-4.87qg1.85

i—管道单位长度水头损失,kPa/m

dj—管道计算内径,m

qg—流量,m3/s

Ch—海曾-威廉粗糙系数

3

冷却水管有结垢,推荐采用哈森-威廉的经验公式进行计算

图片

本公式仅在流体的粘度约为1.1 mPa·s(水在15.5℃时的数值)时,其值才准确。在0℃时可能使计算出的摩擦压力降增大20%,100℃时可能减小20%。其它流体当粘度和水近似时,也可用此公式计算。

ΔPf—摩擦压力降,kPa

Vf—冷却水体积流量,m3/h

d—管道内径,mm

CHW—海曾-威廉系数

L—管道长度,m

序号

说明

公式

式中

4

For water flowing under turbulent conditions

图片

S = hydraulic gradient or frictional head loss per unt length of pipe, (m/m)

V = average pipe velocity, m/s

C = friction factor for the this formula

r = hydraulic radius (liquid area divided by wetted perimeter) or D/4 for a full pipe, (m)

海曾-威廉(Hazen-Wllliams)系数[6]

管道材料

Ch

管道材料

Ch

塑料管、内衬(涂)塑管

140

铜管、不锈钢管

130

内衬水泥、树脂的铸铁管

130

普通钢管、铸铁管

100

 

海曾-威廉(Hazen-Wllliams)系数[9]

管道材料

CHW

管道材料

CHW

铸铁管

100

衬水泥铸铁管

120

碳钢管

112

玻璃纤维增强塑料管

150

海曾-威廉(Hazen-Wllliams)系数[16]

管道材料

Age

Size, in

C

Welded steel

Any age

12 and over

8

4

120

119

118

Concrete or concrete-lined 

Large sizes, good workmanship, steel forms

Large sizes, good workmanship, wooden forms

Centrifugally spun

140

120

135

2.4 舍维列夫公式2 [12]

序号

说明

公式

式中

1

适用于石棉水泥管

图片

V—流速,m/s

d—管道内径,m

2

适用于塑料管(硬聚氯乙烯管、聚丙烯管、聚乙烯管)

图片


2.5 

说明

公式

式中

适用于有压管道沿程水头损失

图片

hf—沿程水头损失,m

d—管道内径,mm

Q—流量,m3/h

L—管道长度,m

f, m, b值见下表:

管道种类

f

m

b

混凝土管

1.749*106

2

5.33

旧钢管、旧铸铁管

6.25*105

1.9

5.1

石棉水泥管

1.455*105

1.85

4.879

硬塑料管

0.9487*105

1.77

4.77

铝质管及铝合金管

0.861*105

1.74

4.74

地面铺设移动软管

hf值为硬塑料管的1.1~1.5倍

2.6 沿程水头损失计算公式的适用范围

2.6.1 海曾-威廉公式适用于较光滑的管道,特别是当e≤0.25 mm (CW≥130)时,该公式较其他公式有较高的计算精度;

2.6.2 舍维列夫公式在1.0≤e≤1.5 mm之间给出了令人满意的结果,这说明建立舍维列夫公式时试验所用旧铸铁管或旧钢管的当量粗糙度在1.0~1.5 mm之内,这正是旧金属管道常见的粗糙度范围。因此,对通常条件下的旧金属管道,选用舍维列夫公式具有较好的实用效果。但是,由于舍维列夫公式没有考虑管壁粗糙程度的影响,对于管壁光滑或特别粗糙的管道,是不适用的。

2.6.3 柯尔勃洛克-怀特公式适于各种紊流,是适用性和计算精度最高的公式之一


导航栏目

联系我们

长沙同大水泵实业有限公司


电话:18674871627

邮箱:957023781@qq. com


用手机扫描二维码关闭
二维码