欢迎光临长沙同大水泵实业有限公司
服务热线 全国服务热线:

18674871627

您的位置:首 页 > 新闻资讯 > > 专业分析 — 水泵特性曲线,知识沉甸甸

新闻资讯

专业分析 — 水泵特性曲线,知识沉甸甸

压头、流量、功率和效率是离心泵的主要性能参数。这些参数之间的关系,可通过实验测定。离心泵生产部门将其产品的基本性能参数用曲线表示出来,这些曲线称为离心泵的特性曲线(characteristic curves)。以供使用部门选泵和操作时参考。

特性曲线是在固定的转速下测出的,只适用于该转速,故特性曲线图上都注明转速n的数值,图2-6为国产 4B20型离心泵在n=2900r/min时特性曲线。图上绘有三种曲线

1.H-Q曲线

H-Q曲线表示泵的流量Q和压头H的关系。离心泵的压头在较大流量范围内是随流量增大而减小的。不同型号的离心泵,H-Q曲线的形状有所不同。如有的曲线较平坦,适用于压头变化不大而流量变化较大的场合;有的曲线比较陡峭,适用于压头变化范围大而不允许流量变化太大的场合。

2.N-Q曲线

N-Q曲线表示泵的流量Q和轴功率N的关系,N随Q的增大而增大。显然,当Q=0时,泵轴消耗的功率最小。因此,启动离心泵时,为了减小启动功率,应将出口阀关闭。

3.η-Q曲线

η-Q曲线表示泵的流量Q和效率η的关系。开始η随Q的增大而增大,达到最大值后,又随Q的增大而下降。该曲线最大值相当于效率最高点。泵在该点所对应的压头和流量下操作,其效率最高。所以该点为离心泵的设计点。选泵时,总是希望泵在最高效率工作,因为在此条件下操作最为经济合理。但实际上泵往往不可能正好在该条件下运转,因此,一般只能规定一个工作范围,称为泵的高效率区,如图2-6波折线所示。高效率区的效率应不低于最高效率的92%左右。泵在铭牌上所标明的都是最高效率下的流量,压头和功率。离心泵产品目录和说明书上还常常注明最高效率区的流量、压头和功率的范围等。
 

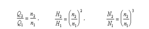
二.离心泵的转数对特性曲线的影响



离心泵的特性曲线是在一定转速下测定的。当转速由n1改变为n2时,其流量、压头及功率的近似关系为 
图片
(2-6)

式(2-6)称为比例定律,当转速变化小于20%时,可认为效率不变,用上式进行计算误差不大。

三.叶轮直径对特性曲线的影响



当叶轮直径变化不大,转速不变时,叶轮直径、流量、压头及功率之间的近似关系为

式(2-7)称为切割定律。

泵生产部门所提供的特性曲线是用清水作实验求得的。当所输送的液体性质与水相差较大时,要考虑粘度及密度对特性曲线的影响。 

1.粘度的影响:

所输送的液体粘度愈大,泵体内能量损失愈多。结果泵的压头、流量都要减小,效率下降,而轴功率则要增大,所以特性曲线改变。 
2.密度的影响:


离心泵的压头与密度无关,这可以从概念上加以说明。液体在一定转速下,所受的离心力与液体的密度成正比。但液体由于离心力的作用而取得的压头,相当于由离心力除以叶轮出口截面积所形成的压力,再除以液体密度和重力加速度的乘积。这样密度对压头的影响就消除了。但是,泵的轴功率随液体密度而改变。因此,当被输送液体的密度与水不同时,不能使用该泵所提供的N-Q曲线,而应按(2-4a)及(2-5)重新计算。

3.溶质的影响:


如果输送的液体是水溶液,浓度的改变必然影响液体的粘度和密度。浓度越高,与清水差别越大。浓度对离心泵特性曲线的影响,同样反映在粘度和密度上。如果输送液体中含有悬浮物等固体物质,则泵特性曲线除受浓度的影响外,还受到固体物质的种类,以及粒度分布的影响。


导航栏目

联系我们

长沙同大水泵实业有限公司


电话:18674871627

邮箱:957023781@qq. com


用手机扫描二维码关闭
二维码